MashFotoМалокоммерческая техника

Информация об изображении

852 КБ


Идентификатор изображения:155
Размер файла:852 КБ
Автор:Дмитрий Михайлов
Опубликовано:08.01.2026 03:00 MSK
Находится на сайте, дней:56
Уникальных просмотров:29
Комментариев:0

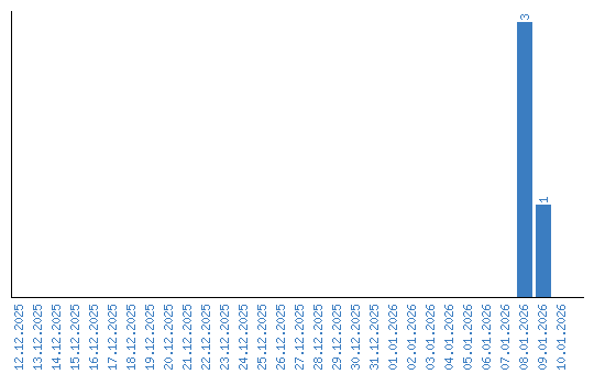
Динамика просмотров по датам